试题详情
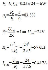
- 简答题某一晶体管功率放大器,已知Ec=24V,Po=5W,Ic0=250mA,电压利用系数ζ=1.求Ps,ηc,Rc,Ic1m?
-
关注下方微信公众号,在线模考后查看

热门试题
- AM调制中的调制信号信息包含在()中。
- DAC电路的主要技术指标有()、()和(
- 除源时,恒压源应作短路处理。
- 十进制数为16,转换为二进制代码为()。
- 什么叫反馈?负反馈对放大电路有什么影响?
- 高频调谐功率放大器中,Ubm
- 逻辑图是最接近实际的电路图。
- 负反馈()改变放大电路的性能。
- 1+A=1
- 下面电路为某电路的直流通路,()电路的三
- 功率放大电路有几种工作状态?各有哪些特点
- 叠加定理仅适用于线性电路。
- 根据下图可知,该晶体三极管的交流电流放大
- 谷点电流
- 环形二极管调幅电路的特点是输出信号无用频
- 差动放大电路,在反相单端输出时的差模电压
- 当高频调谐功率放大器工作状态由临界状态过
- 功率放大电路有()状态。
- 集成运算放大器输出级的输出电阻越小,则集
- 下图所示是由两个运算放大器组成的运算电路