试题详情
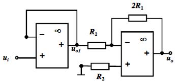
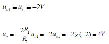
- 简答题 下图所示是由两个运算放大器组成的运算电路。已知输入电压ui= - 2V, 试求出输出电压uo的值。

-
关注下方微信公众号,在线模考后查看

热门试题
- 逻辑表达式是逻辑函数常用的表示方法。
- 为保证基极调幅电路始终工作在欠压状态和充
- 根据已知的(),找出电路的()和其现态及
- 下面电路中()工作在截止状态
- 单音调制的AM信号频宽为2Ω。
- 指出下列各式的错误并改正:
- 解调器应用在通信系统的()。
- 理想单调谐放大器工作的矩形系数为()。
- 电流放大系数
- 运算放大器实质上是一个开环电压放大倍数很
- 数字逻辑电路中三种基本逻辑关系是什么?能
- 如某电台的调频广播频率为99.3MHz,
- 试判断如下图所示的集成运放电路的反馈组态
- 功率晶体管三个电极分别为()。
- 戴维南定理适合于求()条支路电流。
- 放大电路实质上起能量转换的作用
- 超短波只能以()方式传播。
- 三极管共有发射结正偏,()、()和()三
- 功率因素大反应电源设备对电能的利用率()
- 射极输出器的三个主要特点是输出电压与输入