试题详情
- 简答题
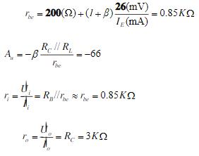
在下图所示的共发射极放大电路中,已知:β = 37.5, UCC = 10V, RB= 250kΩ,RC = 3kΩ,RL = 3kΩ,
计算该电路的性能指标(Au,ri,ro)的值。
-
关注下方微信公众号,在线模考后查看

热门试题
- PLL的锁定是指()。
- 已知下图示电路中Z1
- 画出半波整流电路的电压波形图。
- 放大电路如图3.2所示,当RF
- 差动放大电路的共模抑制比等于(),其值愈
- “与”门的逻辑功能是“有1出1,全0出0
- 相量式既能反映电压与电流间的大小关系又能
- 下图所示电路中,I1
- 在无线电波的传输方式中,高于30MHz的
- LC串联谐振回路的谐振频率除了与L、C有
- 放大电路的动态是指()信号时的状态。
- 在基极调幅电路中,选择晶体管时,需保证P
- 无输出电容的乙类互补对称功放电路(OCL
- 用万用表测试二极管的好坏,当黑表笔接在二
- 集电极调幅的原理()。
- 高频调谐功率放大器一般工作时的导通角为(
- 怎样判断液晶显示器或者笔记本屏幕有坏点,
- 三极管使用时,集电极和发射极可以混用。
- 用场效应管构成的门电路称为()门电路。
- 组合逻辑电路中一般应有JK触发器。