试题详情
- 简答题 试求下图所示电路,Us=10√2∠0°,若ZL的实部与虚部均能变动,欲使ZL获得最大功率,ZL应为何值?

-
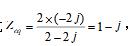
将电路等效为戴维南电路,等效阻抗

关注下方微信公众号,在线模考后查看

热门试题
- 已知某普通调幅波的载频为640kHz,载
- 在下图所示的单相桥式整流电路中,已知变压
- 下面电路为某电路的直流通路,()电路的三
- 在集电极调幅电路中,ECC
- 射极跟随器()电流放大作用。
- 在滤波电路中,最简单的是由电阻器,电感器
- 高电平调制由功率放大器组成,改变E
- 在集电极调幅电路中,ECC
- 整流是指将交流电变成()的过程,通常利用
- 确定交流电有()要素。
- “零线”中没有电流,所以可有可无。
- 将多级单调谐放大器级联,级联后带宽变小。
- 画出正弦量u(t)=10cos(ωt+3
- 下面参量的符号中()表示纯交流电流的瞬时
- 将十进制数9写成二进制数应是()
- 调节偏置电阻可以改变基极电流,达到调节工
- 相电压的有效值是()V。
- 双极型三极管放大电路的组态有()。
- 从晶体二极管的伏安特性曲线看,硅管和锗管
- 通电导体在磁场中所受磁场力的大小与下列无