试题详情
- 简答题已知某普通调幅波的载频为640kHz,载波功率为500kW,调制信号频率允许范围为20Hz~4kHz。试求:(1)该调幅波占据的频带宽度;(2)该调幅波的调幅系数平均值为ma=0.3和最大值ma=1时的平均功率。
-
(1)该调幅波占据的频带宽度B=2Fmax=8kHz
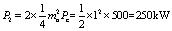
(2)载波功率为500kW,则


调幅波的调幅系数平均值为ma = 0.3时的平均功率
调幅波的调幅系数平均值为ma = 1时的平均功率
关注下方微信公众号,在线模考后查看

热门试题
- 在下图所示的电路中,U0
- 在调制通信系统中,作为载波使用的信号处于
- 当温度升高时,晶体三极管集电极电流Ic变
- 已知电容的初始电压为uc
- 在下图所示的电路中,U0
- 音频、电话、数据终端通信所使用频段为()
- RC振荡器的振荡频率受R的限制,其频率一
- 交流电经变压后的输出电压位u2
- 相位是反映交流电变化的()
- 电流放大系数
- 仪表盘面上的符号,表示仪表的绝缘耐压为(
- 普通调幅信号的包络与()的幅度变化规律相
- “与非”门的逻辑功能是()。
- 最基本的逻辑关系是:与、或、非。
- 交流电路采用相量分析时,应将电感写成()
- 电路如下图所示,求其输出电压Uo等于多少
- 在基极调幅电路中,选择晶体管时,需保证B
- 编码器的输入量是()
- =()
- 半导体三极管也称为晶体三极管。