试题详情
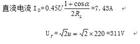
- 简答题有一单相半波可控整流电路,RL=10Ω,电源电压U=220V,α=60°。试计算直流电压、电流及晶闸管承受的最大反向电压。
-
直流电压


关注下方微信公众号,在线模考后查看

热门试题
- 一段有源电路如图所示,则A、B两端的电压
- 不同稳压值的稳压二极管可以串联使用,但不
- LC谐振电路,按反馈电压取出方式不同,可
- 空穴电流是由于自由电子递补空穴而产生的。
- 频率在30MHz以上,可以沿直线传播的电
- 下图为由或非门构成的基本RS触发器的逻辑
- 同一型号的半导体稳压二极管的稳压电压值只
- 电视机的高放和中放电路采用单调谐放大器。
- 有段电阻是4Ω的导线,把它均
- 交流负反馈有哪几种组态?
- 振荡电路的基本组成部分,其中不正确的是(
- 一旦单结晶体管导通后,它就呈现负阻特性,
- 高频调谐功率放大器集电极电流脉冲展开系数
- 交流电的有功功率就是电阻上的功率。
- 在JK触发器中,当J=0、K=1时,触发
- 一个110V、60W的白炽灯接到50Hz
- 集成运算放大器的符合如下图所示,标&ld
- 高频调谐功率放大器中,晶体管的外部特性指
- 微波通信、卫星通信、雷达通信所使用频段为
- TTL门输入端口为()逻辑关系时,多余的