试题详情
- 简答题一个110V、60W的白炽灯接到50Hz、220V正弦电源上,可以用一个电阻、或一个电感、或一个电容和它串联。试分别求所需的R、L、C的值。如果换接到220V直流电源上,这三种情况的后果分别如何?
-
这盏白炽灯的灯丝电阻为

把它接在50Hz、220V正弦电源上和一个电阻相串联时,所串联电阻的阻值应与灯丝电阻相同,即R=202Ω;换接在直流上时情况不变。
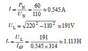
白炽灯在50Hz、220V正弦电源上和一个电感相串联时,其电感的数值为

白炽灯在50Hz、220V正弦电源上和一个电容相串联时,其电容的电容量为
关注下方微信公众号,在线模考后查看

热门试题
- 两级阻容耦合放大电路,如RB
- 半导体导电能力()导体。
- 具有“相同出1,相异出0”功能的逻辑门是
- 已知两个信号电压的频谱如图所示,要求:
- 根据晶体管的输出曲线,可以将晶体管的工作
- 请将下列各式化简为最简与或式。 用逻
- 电路发生谐振时,阻抗最小,电流最大。
- 用3DA4高频功率管装成放大器,测得f
- 引入并联负反馈,可使()。
- 用支路电流法解题时若电路有3条支路,2个
- 用代数法化简下列逻辑函数
- 高频电子技术中所研究的狭义高频工作频率范
- 分别测得两个放大电路中三极管的各极电位如
- 触发器是构成时序逻辑电路的基本单元。
- 放大电路的输出电阻应包括负载电阻。
- 发光二极管、整流二极管、稳压二极管都必须
- 三极管的三个工作区域分别是饱和区、放大区
- 已知逻辑函数,变量ABC分别取值()时,
- 有一单相半波可控整流电路,RL
- 假设二极管为理想器件,画出下面电路中与输