试题详情
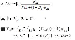
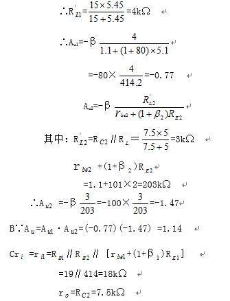
- 简答题 两级阻容耦合放大电路,如RB1=100kΩ,RB2=24kΩ,RC1=15kΩ,RE1=5.1kΩ,β1=80,R′B1=33kΩ,R′B2=6.8kΩ,RC2=7.5kΩ,RE2=2kΩ,RL=5kΩ,β2=100。设UBE1=UBE2=0.6V,UCC=20V,rbe1≈rbe2=1.1kΩ。 试求: A、各级的电压放大倍数Au1、Au2。 B、电路总的电压放大倍数Au。 C、放大电路的输入、输出电阻。
-

关注下方微信公众号,在线模考后查看

热门试题
- AFC的输入信号与VCO输出信号比较,如
- 一个110V、60W的白炽灯接到50Hz
- AB+A=A
- 电感器滤波的基本原理是()。
- 双稳态触发器()稳定状态。
- 高频调谐功率放大器一般工作时的导通角为(
- 画出直流稳压电源的组成框图。
- 什么是共模信号和差模信号?差动放大电路如
- 谐振回路Q值越高,谐振曲线就越尖锐,选择
- 某谐振高频功率放大器,已知晶体管的饱和
- AGC信号控制的接收系统不能包括()。
- 超外差式接收系统中,喇叭的作用是完成电-
- 在无线电技术中,常把U/Um<
- 饱和区
- 高频调谐功率放大器的动态特性中,确定动态
- 下列关于调幅的论述,下列不正确的是()。
- 晶体管功率放大器工作于临界状态,已知E
- 全加器是一个只能实现本位两个进制数相加的
- 锁相环路的组成包括:AGC和PD。
- 在放大电路中,调节基极电阻RB,就会改变