试题详情
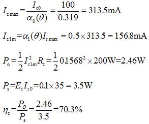
- 简答题 晶体管功率放大器工作于临界状态,已知Ec=35V,Rc=200Ω,Ic0=100mA。求Po,ηc?
-
关注下方微信公众号,在线模考后查看

热门试题
- 在三极管放大电路中,若静态工作点偏低,容
- 有两个电极的元件叫二极管。
- 在下图所示的稳压电路中,已知U
- 为了减小负载接入对电路的影响,通过变压器
- DSB信号的特点为()。
- 单电源放大电路空载时,在其他参量不变的条
- 射极输出器的()电阻高,()电阻低。
- 通信系统中的调制传输指的是()传输。
- 采用反馈控制系统使得输出稳定,其原因利用
- 交流电的有功功率就是电阻上的功率。
- 电路包括()三个组成部分。
- 在交流放大电路中,输出电压与输入电压的相
- 已知某正弦电压的频率f=50Hz,初相角
- 分析运算放大器在线性区域内的分析依据是什
- 在放大电路中,调节基极电阻RB,就会改变
- 现代密码学和传统密码学有什么区别?
- 广播、业余无线电通信所使用频段为()。
- 某谐振功率放大器工作于临界状态,已知E
- 射极输出器的输入电阻较(),输出电阻较小
- ()电压比较器的基准电压UR=0时,输入