试题详情
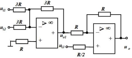
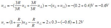
- 简答题 下图所示是利用两个运算放大器组成的两级运算电路,已知ui1=0.2V,ui2=0.4V,ui3 = 0.3V, 试求输出电压uo的值。

-
关注下方微信公众号,在线模考后查看

热门试题
- 能使输入电阻提高的是()反馈。
- AM信号的中心频率是fc
- 采用反馈控制系统使得输出稳定,其原因()
- 十进制数为16,转换为二进制代码为()。
- 支路电流法是利用欧姆定律求支路电流的方法
- 高频调谐功率放大器中,Eb变化,被称为调
- 耦合回路临界耦合时,η()
- 高频调谐功率放大器电路中晶体管的发射结正
- 单相半波可控整流电路带阻性负载时,输出电
- 三极管电流之间的关系是()
- 设两个二端网络对外是等效的,则下列说法哪
- 在下图所示的稳压电路中,已知U
- 多谐振荡器是一种无稳态触发器。
- 电压负反馈能减小输出电阻,电流负反馈能增
- 三极管各个电极的对地电位如下图所示,可判
- 画出数字通信系统的基本组成方框图?
- 双向晶闸管的四种触发方式中,Ⅲ+触发方式
- 逻辑变量只有0和1两种数值,表示事物的两
- 高频调谐功率放大器一般工作在()。
- 调制器应用在通信系统的发送端。