试题详情
- 简答题
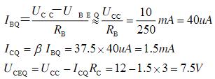
在下图所示的共发射极放大电路中,已知:β = 37.5, UCC = 10V, RB= 250kΩ,RC = 3kΩ,RL = 3kΩ,
画出该电路的直流通路并求解静态工作点Q(IB,IC,UCE)的值
-
直流通路


关注下方微信公众号,在线模考后查看

热门试题
- 脉冲后沿
- 三极管的发射结处于正偏,就必工作在放大状
- 在调幅波中,载频和边频中都包含有信息。
- 根据选频网络不同,正弦波振荡电路分为,能
- 设下图中的VD1、
- 三极管的内部结构是由()区、()Q
- 高频调谐功率放大器电路中电源Ub的作用为
- 根据下图,完成下面空格。 OA段
- 一个N位逐次逼近型A/D转换器完成一次转
- 某谐振高频功率放大器,已知晶体管的饱和
- 如下图的电路中: ①写出u0<
- 具有“相同出1,相异出0”功能的逻辑门是
- 如下图所示三极管的工作状态为()
- 为了使放大器工作在丙类状态,则基极偏压应
- 同步二进制计数器一般由T触发器组成。
- 什么是3G?它的技术标准中哪个是中国独自
- 在简单稳压电路中,稳压环节包括()和()
- 简述通信系统组成各部分的作用?
- 反馈控制系统只能把误差减小。
- 若在过零比较器的反相输入端加正弦波信号,