试题详情
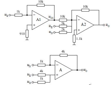
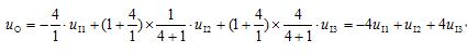
- 简答题 写出图中运算电路的输入输出关系。

-
(a)中A1构成的电路为反相比例电路,A2构成的电路为反相求和电路,则

(b)中A构成的电路为求和电路,则
关注下方微信公众号,在线模考后查看

热门试题
- 晶体三极管的输入端,可以等效为(),它的
- 三极管实现放大作用的内部条件是:发射区杂
- 不同稳压值的稳压二极管可以串联使用,但不
- 如下图所示电路中,若基极电流用I
- 根据下图,完成下面空格。 CD段
- 如果运算放大电路为同相比例运算,R
- 已知谐振功率放大器工作在临界状态,晶体
- 高频调谐功率放大器中,晶体管的内部特性指
- 对同一个线圈,交流电的频率越低,其感抗就
- 维持电流
- A/D转换是一种从数字信号到模拟信号的转
- 环形二极管调幅电路的特点是()。
- 若共发射极放大电路的IE
- 单边带信号通信的优点是节省频带、节省能量
- 集电极调幅的原理()。
- 一旦单结晶体管导通后,它就呈现负阻特性,
- 窄带高频功率放大器又被称为非调谐功率放大
- 稳压二极管的最大稳定电流IZM
- 如图所示电路为应用集成运放组成的测量电阻
- 下图所示电路中,Y恒为0的图是()