试题详情
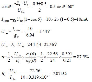
- 简答题 已知谐振功率放大器工作在临界状态,晶体管转移特性的斜率g=10ms,Uj=0.5V,Eb=-0.5V,Ubm=2V,晶体管输出特性临界饱和线斜率gcr=6.94A/V,Ec=24V。 求(1)集电极效率ηc; (2)集电极负载谐振电阻Rc?
-
关注下方微信公众号,在线模考后查看

热门试题
- 模、数转换器通常要经过()、()、()和
- 调频接收机采用AGC电路的作用()。
- 负反馈()改变放大电路的性能。
- 已知谐振功率放大器工作在临界状态,晶体
- 在稳压电路中,二极管起滤波作用,电容起整
- 半导体材料有()种。
- 测量仪表的准确度数值越小,准确度越低。
- 逻辑变量只有0和1两种数值,表示事物的两
- 在下图中,US=5
- 双端输出的差动放大电路,电压放大倍数是单
- 多频幅度调制时,调幅波带宽为基频调制信号
- AM调制中的调制信号频率是()。
- N型半导体中,多数载流子是()
- 低频信号必须装载到高频信号上才能从天线有
- P型半导体中,多数载流子是()
- 在集电极调幅电路中,ECC
- 对于如下图所示桥式整流滤波电路,合并开关
- 完成下列数制与码制之间的转换: ①(4
- 与门的逻辑功能是()
- 在多级直流放大电路中,零点漂移最严重的是