试题详情
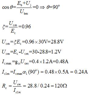
- 简答题 高频功率放大器工作在临界状态,已知cc = 30 V,Eb = Uj = 0.6 V,电压利用系数 ,gcr = 0.4 A/V,求Ucm,Uces,Icmax,Rc?
-
关注下方微信公众号,在线模考后查看

热门试题
- 分压偏置电路调静态工作点时,主要应调节(
- 当二极管处于正向导通状态时,通过二极管的
- 分析时序逻辑电路时,首先要根据已知逻辑的
- 两级阻容耦合放大电路的每级电压放大倍数为
- 整流是指将交流电变成单向脉动直流电的过程
- ()、共基极、共集电极放大电路有功率放大
- 根据比较的方式,反馈可分为()反馈.
- 仪表盘面上的符号,表示该表为()表。
- 若译码/驱动器输出为低电平时,显示器发光
- 用3DA4高频功率管装成放大器,测得f
- 一个110V、60W的白炽灯接到50Hz
- 三极管的输入特性曲线要求集电极-发射极之
- 高频功率放大器工作在临界状态,已知c<
- 对于灯亮而言,总开关和台灯上开关的逻辑关
- 差动放大电路能够有效的克服零点漂移问题。
- 在高频实用电路中,不同的通信系统中,各级
- 随机存取器RAM中的内容,当电源断掉后又
- 锁相环路的组成包括:AGC和PD。
- 二极管的死区电压就是门槛电压,也称为阈值
- 如下图所示电路是一个同相比例运算电路,如