试题详情
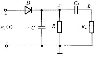
- 简答题 如图所示二极管检波电路中,ui(t)为条汉子信号电压,其调制信号频率F=100~10000Hz,
,RL=10kΩ,R=5kΩ,
,二极管的导通电阻,rd=60Ω,二极管死区电压Uj=0V,试求: (1)不产生惰性失真,ma最大值为多少? (2)不产生割底失真,ma最大值为多少? 
(1)保持输出波形不产生惰性失真的条件是


不产生惰性失真,ma最大值为0.303
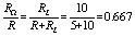
(2)不产生割底失真的条件是

不产生割底失真。
不产生割底失真,ma最大值为0.667
关注下方微信公众号,在线模考后查看

热门试题
- 试判断下图各电路中反馈的极性和组态。
- 电流放大系数
- 仅发送载波时,发射机天线电流是8A,而当
- 三极管具有电流放大作用的内部条件是发射区
- 下图所示电路中,已知I1
- 触发器工作时,时钟脉冲作为()。
- 陶瓷滤波器的通带比()宽。
- 已知某三极管放大电路的IB
- 晶闸管的反向重复峰值电压应大于它的反向击
- 根据选频网络不同,正弦波振荡电路分为()
- 74LS190只能进行十进制加法计数。
- 根据导电能力来衡量,自然界的物质可以分为
- 二极管的P区引出端叫()极,N区的引出端
- 稳压二极管的稳定电流IZmin
- 高频调谐功率放大器无发射结偏置时,硅管的
- 根据选频网络不同,正弦波振荡电路分为?(
- 晶闸管可能导通的条件是()。
- 我们常说的工频交流市电为()
- PLL的锁定是指()。
- 关于磁感线,下列说法正确的是()。