试题详情
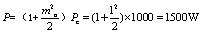
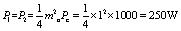
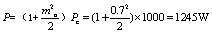
- 简答题普通调幅波中,载波功率为1000W,试求ma=1和ma=0.7时的总功率和两个边频功率各为多少W?
-
Pc=1000W
Ma=1时:


Ma=0.7时:

关注下方微信公众号,在线模考后查看

热门试题
- [+56]的补码是()
- 分压偏置电路调静态工作点时,主要应调节(
- 在下图所示电路中,E=10V,内电阻R0
- 具有保持和翻转功能的触发器是()。
- 逻辑变量只有0和1两种数值,表示事物的两
- TV、遥控遥测、雷达、移动通信所使用频段
- 在电容器滤波电路中,电流很大时,可在电容
- 脉宽调制法
- LC组成一个串联谐振回路,谐振时串联阻抗
- 在图中,已知电源电压V=10V,R=20
- 下列元件不能直接接在电源两端的是()。
- 高频调谐功率放大器中,EB<
- 丙类高频调谐功率放大器的最佳工作状态为(
- 根据晶体管三个电极的电流分配关系,有()
- 共射极放大电路的交流输出波形上半周失真时
- 已知某高频功率管3DA1作为谐振功率放
- ()是双极型全控电力电子器件。
- 三极管电流之间的关系是()
- 稳压二极管的()特性与普通二极管类似,
- 将矩形波变换三角波,需用()。