试题详情
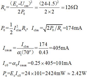
- 简答题 已知某高频功率管3DA1作为谐振功率放大器,已知Ec=24V,Po=2W,工作频率fo=10MHz,导通角θ=70°。试求Icmax、Ic0、Ps?
-
关注下方微信公众号,在线模考后查看

热门试题
- 整流的目的是将()电变成()电。
- 在滤波电路中,最简单的是由电容器,电感器
- 在半波整流电路中,在使用二极管时,二极管
- 负脉冲
- 双调谐回路放大器的两回路间的耦合系数()
- 半导体的特性是什么?
- 仪表盘面上的符号,表示该表为()表。
- 在下图所示的分压式偏置放大电路中,已知:
- 下列电路中,有可能发生失控的是()。
- 负载回路采用部分接入方式接入电路时,接入
- 单端输出的差动放大电路,其差模电压放大倍
- 单调谐放大器中,当ω0
- 在下图所示的共发射极放大电路中,已知:&
- 对于三极管,每个基极电流都有一条输出特性
- 晶体三极管的输入端,可以等效为(),它的
- 多谐振荡器是一种无稳态触发器。
- 根据下图,完成下面空格。 OC段
- 电源或信号源的电压或电流,称为(),它推
- 如果增大信号源内阻,则放大电路的输入电阻
- 有两个已调波电压,其表示式分别为 分