试题详情
- 简答题
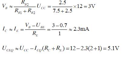
在下图所示的分压式偏置放大电路中,已知:β = 50, UCC = 12V, RB1= 7.5kΩ,R
= 2.5kΩ,RC = 2kΩ, RE= 1kΩ,RL = 2kΩ。
画出该电路的直流通路并求解静态工作点Q(IB,IC,UCE)的值。
-

关注下方微信公众号,在线模考后查看

热门试题
- 时序逻辑电路的输出,与电路的原状态()
- 在下图所示的共发射极放大电路中,已知:β
- 三极管只能对电流起放大作用,所以称为电流
- 组合逻辑电路
- “与非”门逻辑电路的图形符号为(),它的
- 反馈电阻RE的数值
- 共发射极接法的晶体管,工作在放大状态下,
- 半导体具有()、光敏特性、参杂的特性。
- 寄存器中,一个触发器可以存放()位二进制
- 对放大电路进行静态分析的目的是(),即I
- 高频调谐功率放大器中,晶体管的内部特性指
- 在数字信号进行调制时,通常称为键控,其中
- 下图所示是由两个运算放大器组成的运算电路
- 零输入响应指(),零状态响应指()。
- 当指针式万用表使用完毕后,应将万用表的转
- 电感器滤波电路一般适用于()的场合。
- 电路变量主要有:()。
- 在调谐功率放大器中,匹配网络的阻抗变换作
- 正弦交流电的三要素是指:频率、相位和幅度
- 单端输出的差动放大电路,其差模电压放大倍