试题详情
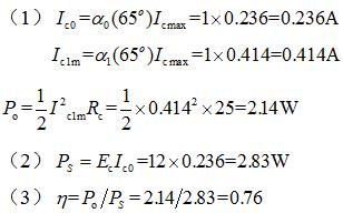
- 简答题 已知一高频放大器,Ec=12V ,负载谐振电阻Rc=25 Ω,其集电极脉冲电流的参数Icmax=1A,θ=65° ,α0(65°)=0.236,α1(65°)=0.414。试计算 P0,PS,ηc。
-
关注下方微信公众号,在线模考后查看

热门试题
- 在接收机系统中有AGC控制,当接收信号增
- 高频调谐功率放大器电路中电源Ub的作用为
- 复数加法运算时应采用()
- 戴维南定理适合于求()条支路电流。
- 已知逻辑函数,变量ABC分别取值()时,
- 原则上零点位点可以任意选择,但在实用中,
- 将二进制数01101写成十进制数应是()
- 下面符号中,()属于NPN三极管的符号。
- 判断下列放大电路中的反馈类型。
- 丙类高频功率放大器,若要求输出电压平稳,
- 交流电经变压后的输出电压位u2
- 对三相半波可控整流电路,考虑变压器漏抗,
- 对于一固定线圈,下面结论正确的是()。
- 为了抑制零点漂移,通常可以在多级放大电路
- 编码的条件是:必须满足2n
- 发生短路时容易烧坏电源的原因是()。
- 测量小功率二极管的好坏时,一般把万用欧姆
- 线电压的有效值是()V。
- 电容可以用于调制和解调器的元件。
- 三极管不仅具有电流放大作用,还具有开关特