试题详情
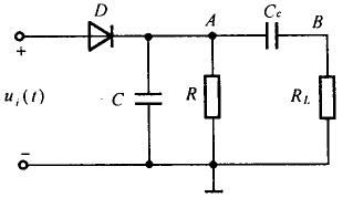
- 简答题 如图所示二极管检波电路中,已知二极管的导通电阻,rd=60Ω,二极管死区电压Uj=0V,R=5kΩ,RL=10kΩ,
,
,输入调幅波的载波频率为465kHz,调制信号频率为5kHz,调幅波振幅的最大值为20V,最小值为5V,试求:(1)电压uA、uB;(2)能否产生惰性失真和割底失真? 
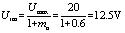
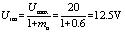
根据题意
,则



可得输入电压为
(1)


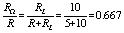
(2)保持输出波形不产生惰性失真的条件是


产生惰性失真。
不产生割底失真的条件是


不产生割底失真。
关注下方微信公众号,在线模考后查看

热门试题
- 三极管组成电路如图(a)~(f)所示,试
- 双调谐回路放大器的两回路间的耦合系数()
- 简单稳压电路,就是在负载两端并联一个合适
- 晶闸管可能导通的条件是()。
- 差动放大电路由双端输出变为单端输出,则其
- 三极管按照构成的结构不同可分为NPN和P
- 或非门的逻辑功能是()
- 正脉冲
- 穿过线圈的磁通量发生变化,线圈中必产生(
- 微分运算电路中的电容接在集成运放的反相输
- 时序逻辑电路按各位触发器接受()信号的不
- 8421BCD码的显著特点是它与()数码
- DSB信号的特点为()。
- 对于增强型绝缘栅场效应管,即使栅—源极间
- 两个稳压管VSZ1
- 功率因素越大说明设备对电能的利用率越高。
- 74LS194可执行左移、右移、保持等几
- 二进制,十进制的代码和计数规律是什么?
- LC谐振电路,按反馈电压取出方式不同,可
- 用万用表测试二极管的好坏,当黑表笔接在二