试题详情
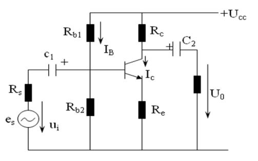
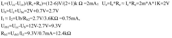
- 简答题分压式偏置电路如下图所示,已知Ucc=12v,Rb2=3.6kΩ,Re=1kΩ,Rc=2kΩ.欲使Uce=6V,问上偏流电阻Rb1应取多大?

- Ucc=Uce+Ic(Rc+Re)

关注下方微信公众号,在线模考后查看

热门试题
- 整流是指将交流电变成()的过程,通常利用
- 触发器是构成时序逻辑电路的基本单元。
- 在触发器电路中,利用SD端、RD端可以根
- 调频波的解调过程称为()。
- 对8421BCD码进行译码应选用()。
- 依据反馈网路从输出电路上的取样方式,可将
- 在PN结的P区引出的电极叫负极,也叫阴极
- 已知一线圈在工频50V情况下测得通过它的
- ()是双极型全控电力电子器件。
- 二进制,十进制的代码和计数规律是什么?
- 用指针式万用表的欧姆档判断某三极管的管脚
- 放大电路没有交流输入信号时的工作状态为(
- 复合管中二个三极管的电流放大系数分别为3
- 电压型逆变电路中,交流侧输出电压波形为(
- 移位寄存器除具有存放数码的功能外,还具有
- 射极输出器属于()负反馈电路,它的电压放
- 所谓单稳态触发器,只有一个稳定状态,而不
- 常用的整流电路有半波整流,全波整流和()
- 下图(a)固定偏流放大电路中,三极管的输
- 无线电波在均匀介质中传播时,频率越高,波