试题详情
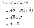
- 简答题 用逻辑代数运算法则化简为最简与或式。

-
关注下方微信公众号,在线模考后查看

热门试题
- 共射极、()放大电路有电流放大作用.
- 实际信号输入阻抗是变化的,在设计调谐功率
- 二极管的死区电压就是反向偏置电压。
- 发光二极管的工作电流一般为()。
- 与恒压源并联的元件等效时应保留。
- 高频调谐功率放大器在静态时,晶体管处于(
- 符合“或”逻辑关系的表达方式是()。
- 相量只能表示交流电的有效值和()
- 在下图所示的共发射极放大电路中,已知:&
- 用逻辑代数运算法则化简为最简与或式。
- 在集电极调幅电路中,选择晶体管时,需保证
- 单回路通频带B与谐振频率f成()。
- 两个PN结就能构成三极管,具有放大作用。
- ()BCD码是最常用也是最简单的一种BC
- 下列各参数不能够用于调节基本高频调谐功率
- 通过PN结的载流子只有一个方向,所以PN
- 三相共阳极整流电路,整流管总在三相相电压
- 在基极调幅电路中,选择晶体管时,需保证B
- 调相的描述()。
- 高频调谐功率放大器电路中晶体管的发射结(