试题详情
- 简答题为什么小信号检波称为平方律检波,并证明二次谐波失真系数等于ma/4?
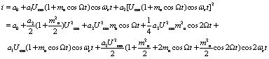
-

设输入的是单频正弦调制的调幅波,即

二极管输入电压为

二极管特性曲线在Q点的幂级数展开式为

将(1)代入(2),只取前两项得
频率为Ω的电流
,由于它的幅值与输入信号幅值的平方成正比,故称平方律检波。频率为2Ω的成份与频率为Ω的基带信号较接近,因此不容易滤除,将造成输出信号的非线性失真。定义二次谐波失真系数为二次谐波与基波之比:
关注下方微信公众号,在线模考后查看

热门试题
- 当电流源短路时,该电流源内部()
- 在下图的桥式整流、电容滤波电路中,U
- 若PN结外加正向电压会使PN结()。
- 锁相环路的同步带比捕捉带()。
- 在闭合电路中,负载电阻减小,则总电流将(
- 高频调谐功率放大器的动态特性中,确定动态
- 如图所示电路中,已知电阻Rf&
- 如果在计数器的RD端加负脉冲,就会使计数
- 计算机性能评价是一个很复杂的问题,在实际
- 功率放大电路通常处于多级放大电路的()级
- 共集电极电路电压放大倍数(),输入电阻(
- 所谓开环放大电路是指()的放大电路。
- 三极管工作在饱和区时,由于集电极电流较大
- 设一高频调谐功率放大器有下述几种:甲类、
- 并联谐振回路发生谐振时,电压为()。
- 高频调谐功率放大器的输出功率是指为()。
- 射极跟随器的特点是()
- 当放大电路加上负载后,输出信号的动态范围
- 如图所示二极管检波电路中,ui
- 稳压二极管的反向击穿电压越大越好,反向饱