试题详情
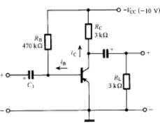
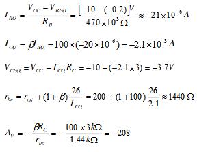
- 简答题 在下图所示的基本放大电路中,设晶体管β=100,VBEQ=-0.2V,rbb’=200Ω,Cl,C2足够大,它们在工作频率所呈现的电抗值分别远小于放大级的输入电阻和负载电阻。 (1)估算静态时的IBQ,ICQ和VCEQ; (2)估算晶体管的rbe的值; (3)求电压放大倍数

-
关注下方微信公众号,在线模考后查看

热门试题
- 同一型号的半导体稳压二极管的稳压电压值只
- 微波通信、卫星通信、雷达通信所使用频段为
- 一只三极管的β=50,当IB<
- 将声音、图像和数据等转换成电信号后,可归
- 高频调谐功率放大器中,当频率升高时,晶
- PN结正偏时,P区接电源的()极,N极接
- 欲使三极管具有电流放大作用,则必须使发射
- 用戴维南定理计算电压u。
- 如下图所示三极管放大电路的直流负载线斜率
- 利用与非门设计一个逻辑电路,判断三
- 某一带负反馈的闭环放大电路,其基本放大电
- 调节偏置电阻可以改变基极电流,达到调节工
- 电流型逆变电路中,交流侧输出电流波形为(
- 放大电路的动态是指()信号时的状态。
- 什么是共模抑制比
- 逻辑函数的基本表示方法有()、()和()
- 为了避免IGBT发生锁定现象,必须规定集
- 已知分压式偏置放大电路中,U
- 基极调幅的原理用调制信号去控制基极的电压
- 稳压二极管的()参数越小,稳压管的稳压特