试题详情
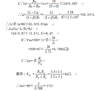
- 简答题 已知分压式偏置放大电路中,UCC=24V,RC=3.3kΩ,RE=1.5kΩ,RB1=33kΩ,RB2=10kΩ,RL=5.1kΩ,β=66。设UBE≈0,RE并联旁路电容CE。 试求: A、静态值IB、IC、UCE。 B、晶体管输入电阻rbe。 C、电压放大倍数Au。
-
关注下方微信公众号,在线模考后查看

热门试题
- 高频调谐功率放大器一般工作时的导通角为(
- 为了有效地发射电磁波,天线尺寸必须与辐射
- 声表面波滤波器中心频率可以做的()。
- 用一个电动势和内阻串联表示的电源称为()
- 将十进制数99化为二进制数,正确的是()
- 三极管各个电极的对地电位如下图所示,可判
- 调幅的描述()。
- 晶体管功率放大器工作于临界状态,已知E
- 获得DSB信号可采用()。
- 单稳态触发器的暂稳状态维持的时间,就是它
- 调幅波的解调过程称为()。
- 清零后的四位移位寄存器,如果要将四位数码
- 调频的描述()。
- 调制器应用在通信系统的发送端。
- 已知谐振功率放大器工作在临界状态,晶体
- 用万用电表测量电阻值时,应在电阻不带电的
- π型RC滤波电路的效果较好,但其中的电阻
- 反馈控制系统只能把误差()。
- D/A转换是一种从数字信号到模拟信号的转
- 双稳态触发器