试题详情
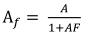
- 简答题某一带负反馈的闭环放大电路,其基本放大电路的电压放大倍数为A,反馈网络的反馈系数为F,该带负反馈的闭环放大电路的闭环放大倍数Af的表达式为()。

关注下方微信公众号,在线模考后查看

热门试题
- 硅管是指NPN型,锗管是指PNP型。
- 对于共集电极放大电路,当静态工作点设置过
- 高频调谐功率放大器中,为了兼顾输出功率和
- 放大区
- 当iB≥VCC/βRC时三极管处()状态
- 差动式放大电路抑制零漂作用强,放大作用也
- 测量仪表的准确度数值越小,准确度越低。
- 无源一端口网络的阻抗与信号的频率无关。
- 在下图电路中,试画出Q1
- 恒流源可以等效为恒压源()
- 高频调谐功率放大器中,晶体管的外部特性指
- 用功率表测量某负载功率时,测得电压为22
- 如下图的电路中: ①写出u0<
- A/D转换是一种从数字信号到模拟信号的转
- 下面电路为某电路的直流通路,()电路的三
- 无线电波在均匀介质中传播时,频率越低,波
- AB+A=A
- 本征半导体掺入五价元素后成为()
- 稳压二极管的反向击穿电压越大越好,反向饱
- 环形二极管调幅电路的特点是输出信号无用频