试题详情
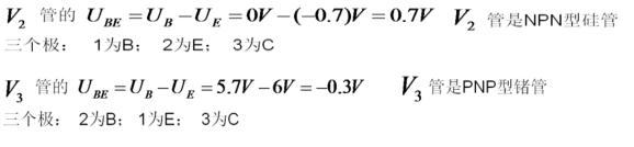
- 简答题用直流电压表测某电路中三只晶体管的三个电极对地的电压,其数值如下图所示。试指出每只晶体管的E、B、C三个极,并说明该管是硅管还是锗管。

- 在正常工作的情况下NPN型硅管发射结的直流压降为=0.6到0.8伏;PNP型锗管=-0.2到-0.3伏。
V1管的
V1管是NPN型硅管,三个极:1为C;2为B;3为E.

关注下方微信公众号,在线模考后查看

热门试题
- 单回路通频带B与谐振回路Q值成正比。
- 高频调谐功率放大器中,随着U
- 单相交流调压电路可以用于()
- 一个直接耦合两级放大电路如图(a)所示。
- 检波器产生负峰切割失真的根本原因是交、直
- 画出数字通信系统的基本组成方框图?
- 负载星形连接时,相电压等于线电压,相电流
- 对于如下图所示桥式整流滤波电路,断开开关
- 下列元件不能直接接在电源两端的是()。
- 晶体管3DG12B组成谐振功率放大器,
- 在自动增益控制系统中,确定AGC受控级时
- 放大电路实质上起的作用()
- DAC电路的作用是将()量转换成()量。
- 高频调谐功率放大器中,随着Ubm的增大,
- 三极管的主要功能是(),三极管电流放大作
- 电力二极管的工作特性有()。
- 接收机自动音量控制电路能自动保持音量,原
- 功率放大器的效率是指什么?
- 有两个已调波电压,其表示式分别为 试
- 请将下列各式化简为最简与或式。 用卡