试题详情
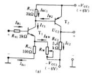
- 简答题 一个直接耦合两级放大电路如图(a)所示。晶体管Tl和T2均为硅管,β1=β2=50,VBE=0.65V。调节Rw后使输入信号Vi=0时,Vc2=0V。求: (1)各级静态工作点Q及Rw阻值。 (2)Av、Ri和Ro。

-
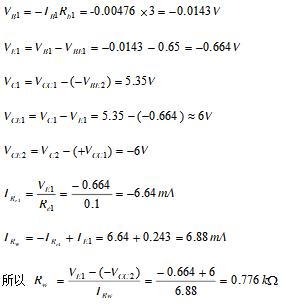
(1)计算静态工作点Q

静态时Vi=0,相当于输入端短路。

(2)计算AV,Ri和Ro。
画出题图(a)电路的微变等效电路如图所示。图中

关注下方微信公众号,在线模考后查看

热门试题
- 若反馈信号正比于输出电流,该反馈为()反
- 二极管大信号包络检波器原来无失真,但当输
- 丙类高频功率放大器原来工作于临界状态,由
- 下面选项中()为工作在放大区的硅材料NP
- 变压器的主磁通与负载的关系是()。
- 已知电路如下图所示,忽略二极管的正向导通
- 放大电路带负载时,静态工作点Q将随输入信
- 当放大电路的静态工作点位于截止区时,应(
- 提高功率因素的常用办法是在电感负载两端(
- 下图所示是由两个运算放大器组成的运算电路
- 常见的8—3线编码器中有8个输出端,3个
- LC组成一个串联谐振回路,谐振频率f
- 检波器的非线性失真系数是指输出的低频信号
- 当电流源短路时,该电流源内部()
- 对同一个电容,交流电的频率越高,其容抗就
- 下图所示是利用两个运算放大器组成的两级运
- 经过N个计数脉冲,计数器的状态恢复到原始
- 对已经触发导通的晶闸管,如果阳极电流减小
- 谐振功率放大器工作在临界状态,若等效负
- 高频调谐功率放大器一般工作时的导通角为(