试题详情
- 简答题 如图所示二极管检波电路中,已知二极管的导通电阻,rd=60Ω,二极管死区电压Uj=0V,R=5kΩ,RL=5kΩ,
,
,输入信号电压为
试求: (1)调幅指数ma,调制信号频率F,调幅波的数学表达式; (2)能否产生惰性失真和割底失真?
(1)因为

所以

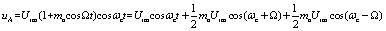
数学表达式:
(2)保持输出波形不产生惰性失真的条件是

不产生惰性失真。
不产生割底失真的条件是
产生割底失真。
关注下方微信公众号,在线模考后查看

热门试题
- 在时钟脉冲的控制下,JK触发器根据输入信
- 数字逻辑电路中三种基本逻辑关系是什么?能
- 石英晶体与电感串联后,通频带向()方向扩
- =()
- ()是电流控制型电力电子器件。
- 晶体管工作在放大区的条件是发射结(BE结
- 将模拟信号转换成数字信号的电路称为()转
- N个节点可以列N-1个节点电流方程。
- 放大电路如图3.2所示,当RF
- AFC电路锁定后的误差称为剩余频差。
- 电视、调频广播和移动通信均属超短波通信。
- 画出电感器滤波电路波形图。
- 可控整流电路
- 二一十进制译码器的功能与二一十进制编码器
- 对放大电路的分析时只需分析电路的交流分量
- ()是用作放大电路的输出级,以驱动扬声器
- 在接收机系统中有AGC控制,当接收信号减
- 硅二极管()用作开关元件。
- 采样定理的规定,是为了能不失真地恢复原模
- 设某谐振功率放大器工作在临界状态,已知