试题详情
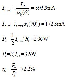
- 简答题 设某谐振功率放大器工作在临界状态,已知电源电压Ec=36V,集电极电流导通角θ=70°,集电极电流的直流分量为100mA,谐振回路的谐振电阻Rc=200Ω,求放大器的输出功率Po,效率ηc?
-
关注下方微信公众号,在线模考后查看

热门试题
- 在测量二极管正向电阻时,若用两手把管脚捏
- 将二进制数10010101转换为十进制数
- 晶体三极管的发射结正偏,集电极反偏时,则
- 根据反馈的极性,反馈可分为()反馈.
- 共发射极放大电路的集电极电流波形与基极电
- 单相桥式整流电路的电源电压U=15V,直
- 语音信号的频率范围为()。
- 如图所示的射极输出器电路中,设三极管的&
- 共发射极放大电路的输出电阻r0
- 功率放大器通常在多级放大器的位置是()。
- 已知一电压源的电动势为12V,内阻为2Ω
- 通过PN结的载流子只有一个方向,所以PN
- 从晶体二极管的伏安特性曲线看,硅管和锗管
- 集成运算放大器的符合如下图所示,标&ld
- 石英晶体与电感串联后,由于串联电感增加,
- 高频电子技术中所研究的狭义高频工作频率范
- 基本RS触发器的原始状态Qn为“0”态,
- 组合逻辑电路的组成?
- 对8421BCD码进行译码应选用()。
- 调相的描述是用调制信号去控制载波信号的相