试题详情
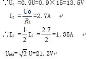
- 简答题单相桥式整流电路的电源电压U=15V,直流负载RL=5Ω。求输出的直流电压、电流及二极管通过的电流、最高反向电压。
-

输出的直流电压为13.5伏,直流电流为2.7安,二极管通过的电流为1.35安,最高反向电压为21.2伏。 关注下方微信公众号,在线模考后查看

热门试题
- 将下面元件或设备构成简单并联直流稳压电源
- 并联谐振回路发生谐振时,回路电纳为0。
- LC组成一个串联谐振回路,谐振频率f
- 符合真值表1的是()门电路。
- 对二极管正向电阻Zr和反向电阻Fr的要求
- 在下列整流电路,能够实现有源逆变的是()
- 在滤波电路中,最简单的是由电容器,电感器
- TTL门电路中,哪个有效地解决了“线与”
- 在下图所示电路中,E=10V,内电阻R0
- 已知某普通调幅波的载频为640kHz,载
- 三相桥式全控整流电路,全部自然换相点是(
- 下图所示是由两个运算放大器组成的运算电路
- 调制的描述是用调制信号去控制调制信号的某
- 提高功率因素的常用办法是在电感负载两端(
- 当时序逻辑电路的触发器位数为n,电路状态
- 功率放大电路有()状态。
- 电路如下图所示,已知输入电压U
- 某高频功率放大器,已知Ec<
- 二极管的门槛电压就是()。
- 晶闸管