试题详情
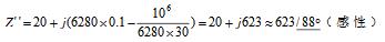
- 简答题已知RLC串联电路的参数为R=20Ω,L=0.1H,C=30μF,当信号频率分别为50Hz、1000Hz时,电路的复阻抗各为多少?两个频率下电路的性质如何?
-
①当信号频率为50Hz时

②当信号频率为1000Hz时
关注下方微信公众号,在线模考后查看

热门试题
- A/D转换是一种从数字信号到模拟信号的转
- 下列电路中,有可能发生失控的是()。
- 固定偏置三极管放大电路如图所示,输入正弦
- π型RC滤波电路的效果较好,但其中的电阻
- 在调制通信系统中,作为载波使用的信号处于
- 如图所示的分压式偏置放大电路中,已U
- 如果需要稳定放大电路的输出电压,并且还要
- 单相半波可控整流电路带阻性负载时,输出电
- 集成运算放大器输出级的输出电阻越小,则集
- 74LS190只能进行十进制加法计数。
- 简述数码相机中光学变焦与数码变焦的区别?
- 对于共集电极放大电路,出现饱和失真的正确
- 如下图所示电路属于()电路。
- 二极管检波器如图所示,二极管的导通电阻,
- 在放大电路中,调节基极电阻RB,就会改变
- 模拟相乘调幅、平衡调幅、环形调幅均属于高
- 晶闸管整流电路与晶体二极管整流电路的最大
- 电路如下图所示,求其输出电压Uo等于多少
- 调制信号和载波信号线性叠加也能得到调幅波
- 功率放大器的效率是指什么?