试题详情
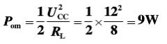
- 简答题如下图所示的功放电路中,已知VCC=12V,负载RL=8Ω。ui为正弦电压,求在忽略三极管的饱和压降UCES的情况下,负载上可能得到的最大输出功率。


关注下方微信公众号,在线模考后查看

热门试题
- 同步电路和异步电路的区别是什么?
- 陶瓷滤波器的通带比()窄。
- 优先编码器中,允许几个信号同时加到输入端
- 什么是3G?它的技术标准中哪个是中国独自
- 考虑到基区载流子的渡越时间,相角 &t
- 三极管放大电路的微变等效电路适合所有情况
- 晶体管的控制方式为()
- 多级放大电路中输入信号为零时,输出信号电
- 通信系统中的调制传输指的是()传输。
- 集电极调幅的原理()。
- 维—阻D型触发器在C的后沿触发,当C的后
- 由于电感线圈中储存的能量不能突变,所以电
- 信道是传输信息的通道,或传输信号的通道,
- 电容滤波电路适用于输出电压(),负载电流
- 用功率表测量某负载功率时,测得电压为22
- 下图是直流稳压电源电路图,试叙述该电路的
- 电路如下图所示,A点的电位为()。
- 编码的条件是:必须满足2n
- 图像信号的频率范围为()。
- 下图所示是利用两个运算放大器组成的两级运