试题详情
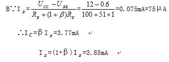
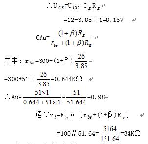
- 简答题已知:某射极输出器中RB=100kΩ,RE=1kΩ,UBE=0.6V,β=50,UCC=12V试求:A、画出微变等效电路B、静态值IB、IC、UCEC、电压放大倍数AuD、输入电阻ri。
-
A、微变等效电路如图所示


关注下方微信公众号,在线模考后查看

热门试题
- 画出电感器滤波电路波形图。
- 仪表盘面上的符号,表示该表为()表。
- 在截止区三极管()电流放大作用。
- 在数字信号进行调制时,通常称为键控,其中
- 计算机病毒有何特点?
- 如图所示的射极输出器电路中,设三极管的&
- 简单二极管调幅电路的特点是()。
- 异步二进制计数器一般由T触发器组成。
- 单结晶体管
- 图示电路中2Ω电阻吸收的功率
- PN结具有单向导电性。
- 晶体管的主要特点是具有()。
- 三极管微变等效电路中发射结电阻
- 单电源放大电路空载时,在其他参量不变的条
- 将下面元件或设备构成简单并联直流稳压电源
- 试判断图中各放大电路有无放大作用,简单说
- LC谐振电路,按反馈电压取出方式不同,可
- 基极固定偏置共发射极放大电路中,偏置电阻
- 由欧姆定律R=U/I可知,以下正确的是(
- 稳压二极管处于()状态会导致二极管性能损