试题详情
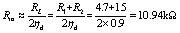
- 简答题 如图所示电路中,R1=4.7kΩ,R2=15kΩ,输入信号电压Ui=1.2V,检波效率设为0.9。求输出电压最大值并估算检波器输入电阻Rin?

(1)由检波效率

(2)检波器输入电阻:
关注下方微信公众号,在线模考后查看

热门试题
- 如图所示,列写节点电压或网孔电流方程,并
- 点接触型二极管适用于(),而面接触型二极
- 某一晶体管功率放大器,已知Ec=24V,
- 在调谐功率放大器中,晶体管工作延伸到非线
- 直接耦合
- 具有负载的放大电路的交流负载线斜率K
- 从晶体二极管的伏安特性曲线看,硅管和锗管
- 在调制通信系统中,需要传递的有用信息处于
- 缓冲电路的基本设计思路是:在器件开通时,
- 多频幅度调制时,调幅波带宽为()调制信号
- 下面电路中()工作在放大状态
- 基极调幅的原理用调制信号去控制基极的电压
- 高频调谐功率放大器中,晶体管的内部特性指
- 当PN结的P区接电源的负极,而N区接电源
- 单相桥式全控整流电路,阻感性负载,α=9
- 调制的实质是频谱搬移,把调制信号从高频搬
- 除源时,恒流源应作短路处理。
- 戴维南定理适用于()
- 对于一固定线圈,下面结论正确的是()。
- 丙类高频功率放大器输出功率为5W,效率为