试题详情
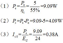
- 简答题丙类高频功率放大器输出功率为5W,效率为55%时,问晶体管的集电极损耗为多少?若用24V的直流电源供电,它输出多大的直流电流?
-
关注下方微信公众号,在线模考后查看

热门试题
- 放大电路实质上起能量转换的作用
- 选受温度影响较小的稳压管,应选稳定电压在
- 下图所示电路中,有多少支路和结点?U
- 高频电子技术中所研究的广义高频工作频率范
- 在下图所示的共发射极放大电路中,已知:β
- 关于磁感线,下列说法正确的是()。
- 若下图电路中要求达到以下的效果,则应引入
- 设下图中的VD1、
- 无线电波的传播方式是根据频率大小严格划分
- 在高频调谐功率放大器调试过程中,为保证晶
- 如图所示电路中,硅稳压管DZ1
- 将交流电能变换成直流电能的过程称为逆变。
- 二极管有()PN结。
- 家用吊扇的电机属于()。
- 时序逻辑电路的输出,与电路的原状态()
- 半导体具有()、光敏特性、参杂的特性。
- 在调制通信系统中,需要传递的有用信息处于
- 国内短波广播的波段大致为()。
- 在如下图所示电路中,当电源V=5V时,测
- 数字电路中,输入信号和输出信号之间的关系