试题详情
- 简答题 放大电路如图(a)所示。已知图中Rb1=10kΩ, Rb2=2.5kΩ,Rc=2kΩ,Re=750Ω,RL=1.5kΩ,Rs=10kΩ,Vcc=15V,β=150。设Cl,C2,C3都可视为交流短路,试用小信号分析法计算电路的电压增益AV,源电压放大倍数AVS,输入电阻Ri,输出电阻Ro。

-
由于三极管的小信号模型参数与静态工作点有关,所以,在进行小信号模型分析以前,首先进行静态分析并求三极管的H参数。
(1)静态分析,确定rbe

(2)画出H参数小信号等效电路
先画出放大电路的交流通路,即将直流电源VCC和所有的耦合电容、旁路电容都视为短路画出交流通路,然后根据交流通路画出H参数小信号等效电路如图(b)所示。

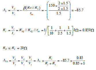
(3)求动态指标
根据H参数小信号等效电路得

由以上分析结果可看出,由于Rs的存在而且较大,使AVS比AV比小得多。 关注下方微信公众号,在线模考后查看

热门试题
- 射极输出器的输入电阻高,输出电阻低,带负
- 同步信号为锯齿波的触发电路主要由脉冲形成
- 可控RS触发器的Qn=0,R=0,S=1
- 集电极调幅的优点是()。
- 陶瓷滤波器的通带比()宽。
- D触发器在D=1时,输入一个CP脉冲,其
- 计算机病毒有何特点?
- 半导体三极管也称为晶体三极管。
- 在下图电路中,试画出Q1
- 下图所示电路中,Y恒为0的图是()
- 当基本RS触发器的RD
- 具有负载的放大电路的交流负载线斜率K
- 串联型稳压电源,主要由()、()、()和
- 如果把静态工作点选在IEQ
- VSB通信的优点是()。
- 如下图所示三极管的工作状态为()
- 低电平调幅器应用在发射机前级。
- 在电压和电流的非关联参考方向下,欧姆定律
- 已知某高频功率管3DA1作为谐振功率放
- 下以说法中,()是正确的。