试题详情
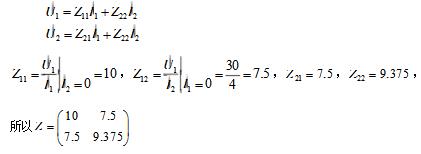
- 简答题 计算负载RL的两端看进去的戴维宁等效电路,并问RL为多少时,负载获得最大功率,并计算此时的功率。

-
关注下方微信公众号,在线模考后查看

热门试题
- 如图所示二极管检波电路中,ui
- 逻辑函数常用的化简方法有代数法和卡诺图法
- 下面电路中()工作在放大状态
- f(t)为某周期性的电压或电流,f(t)
- 如下图所示是一个反相比例运算电路,写出其
- 在画放大电路的交流通路时,直流电压源视为
- 射极输出器的输入电阻高,输出电阻低,带负
- ()比例运算电路的输入电阻大,()比例运
- 当流过IGBT的电流较大时,其通态电阻具
- 如图所示的射极输出器电路中,设三极管的&
- 测量时的系统误差是()误差。
- 调频接收机采用AGC电路的作用()。
- 三极管有电流放大作用也有电压放大作用。
- ()是双极型全控电力电子器件。
- 当高频调谐功率放大器工作状态由临界状态过
- 幅度是反映交流电变化的()
- 半导体导电能力()导体。
- 稳压二极管的()特性与普通二极管类似,
- 下图为可控RS触发器的逻辑符号和功能表(
- 在滤波电路中,最简单的是由电阻器,电感器