试题详情
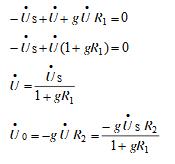
- 简答题 求下图所示电路中R2的端电压

-
对左回路列KVL方程(顺时针绕行),有
关注下方微信公众号,在线模考后查看

热门试题
- 在PN结的P区引出的电极叫负极,也叫阴极
- 采用基极电流自给偏压如何实现放大器的调制
- 关于戴维宁定理,下列说法正确的是()。
- 交流电源电压U=20伏,如果采用二极管半
- 如果需要稳定放大电路的输出电压,并且还要
- 无输出电容的乙类互补对称功放电路(OCL
- 振荡电路的基本组成部分放大电路、反馈电路
- 半导体三极管也称为晶体三极管。
- 如图所示电路中,R1
- 对于如下图所示桥式整流滤波电路,断开开关
- 在下图所示的稳压电路中,已知U
- 频率是反映交流电变化的()
- 基本RS触发器要受时钟脉冲的控制。
- 检波器产生负峰切割失真的根本原因是交、直
- 逻辑代数运算与普通代数运算()
- 下列不是集电极调幅波的失真的是()。
- 求下图所示电路中R2
- 根据已知的(),找出电路的()和其现态及
- 在下图所示的分压式偏置放大电路中,已知:
- 无稳态触发器